Skip to content

如何实现 mathscr 的花体符号?

如何实现 mathscr 的花体符号?

✅ Typst 0.14 已改进

#6309 已添加scr函数,对于某些数学字体(包括默认字体在内),可直接使用。

typst
$scr(L) != cal(L)$.
Typst compiled image

对于其它字体,可用如下办法实现 LaTeX 的\mathscr花体。

局部使用

typst
#let scr(it) = text(
  stylistic-set: 1,
  $cal(it)$,
)

We establish $cal(P) != scr(P)$.
Typst compiled image

来源:scr - Variants Functions – Typst Documentation

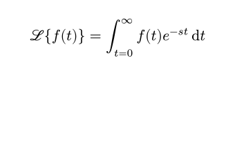
全局设置

typst
#set text(stylistic-set: 1)

$ cal(L){f(t)} = integral_(t = 0)^oo f(t) e^(- s t) dif t $
Typst compiled image
Comments
  • Latest
  • Oldest
  • Hottest

基于 MIT 许可发布